SR2736

Best Disease (IIB)

Male

Male

SR2736

Best Disease (IIB)

Male

Male

Highlighted Images

Age at visit: 49 years
OD OS

History

This 49 year old man first experienced some mild metamorphopsia at age 35.

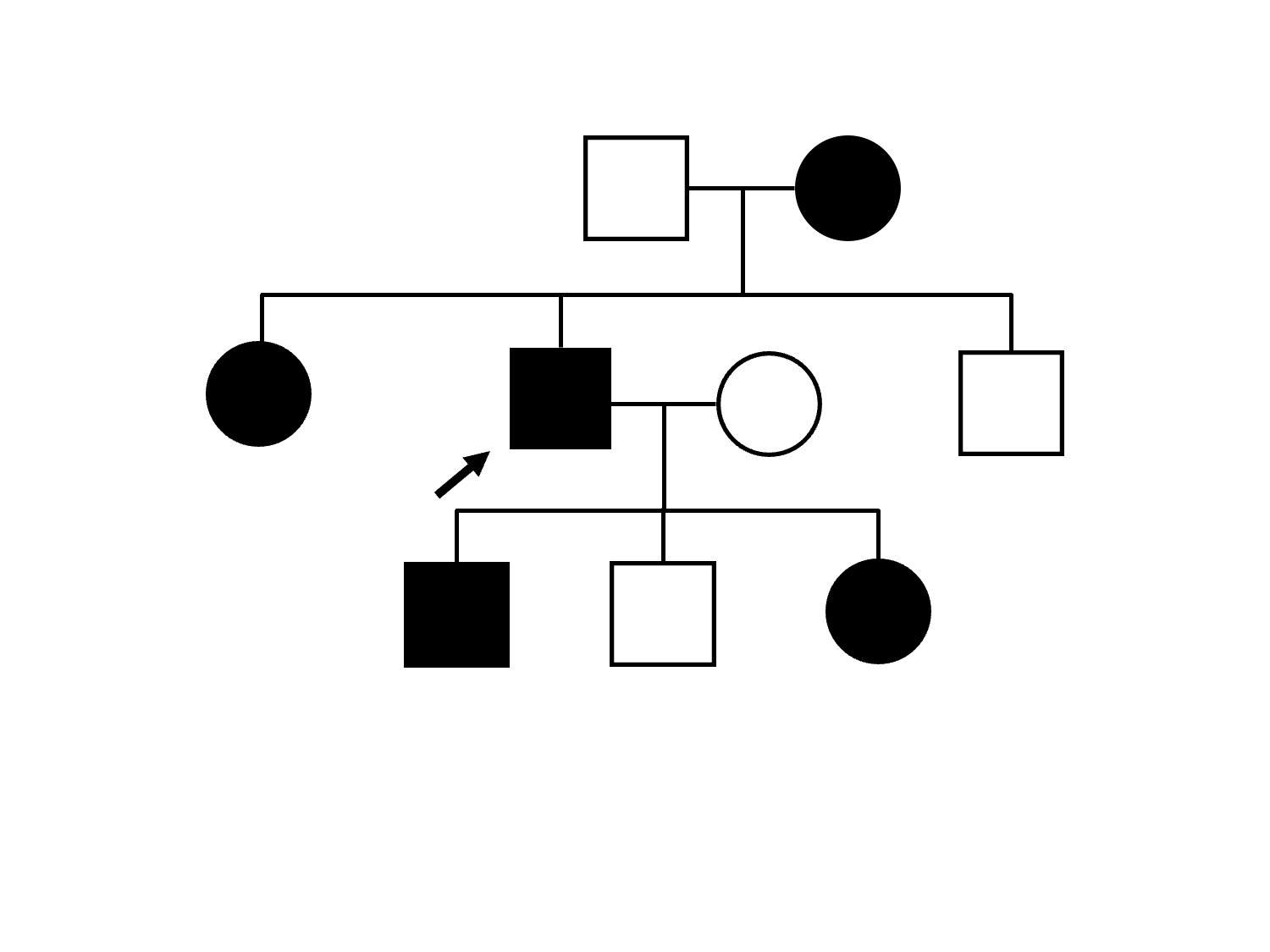
Pedigree

Age at visit: 49 years
Age at visit: 51 years
Age at visit: 52 years

Diagnosis & molecular findings

Disease Gene Allele 1 variant(s) Allele 2 variant(s) Inheritance mode
Best Disease BEST1 Ala243Val GCG>GTG   AD
Disease:
Gene:
Allele 1:
Ala243Val GCG>GTG
Allele 2:
 
Inheritance:
AD
Cite this case