SR3050

Pattern Dystrophy (IIC)

Male

Male

SR3050

Pattern Dystrophy (IIC)

Male

Male

Highlighted Images

Age at visit: 47 years
OD OS

History

This 47 year man first experienced some decrease in his central vision about 10 years ago.

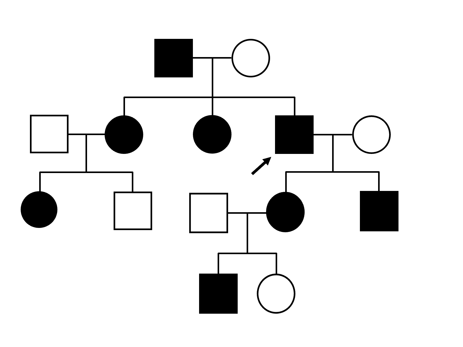
Pedigree

Age at visit: 47 years
Age at visit: 49 years
*Acuities for this visit are inferred from other visits in this case.
Age at visit: 51 years
Age at visit: 51 years (Visit 2)
Age at visit: 51 years (Visit 3)
Age at visit: 52 years
Age at visit: 53 years
Age at visit: 55 years
Age at visit: 59 years
Age at visit: 60 years
Age at visit: 61 years
Age at visit: 62 years
Age at visit: 63 years
Age at visit: 66 years
Age at visit: 66 years (Visit 2)
Age at visit: 69 years
Age at visit: 77 years
Age at visit: 78 years

Diagnosis & molecular findings

Disease Gene Allele 1 variant(s) Allele 2 variant(s) Inheritance mode
Pattern Dystrophy PRPH2 Gly167Asp GGC>GAC   AD
Gene:
Allele 1:
Gly167Asp GGC>GAC
Allele 2:
 
Inheritance:
AD
Cite this case