SR7427

AD Stargardt Disease (IIF)

Female

Female

SR7427

AD Stargardt Disease (IIF)

Female

Female

Highlighted Images

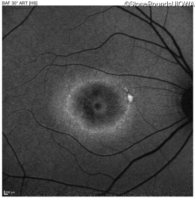
Age at visit: 40 years
OD OS

History

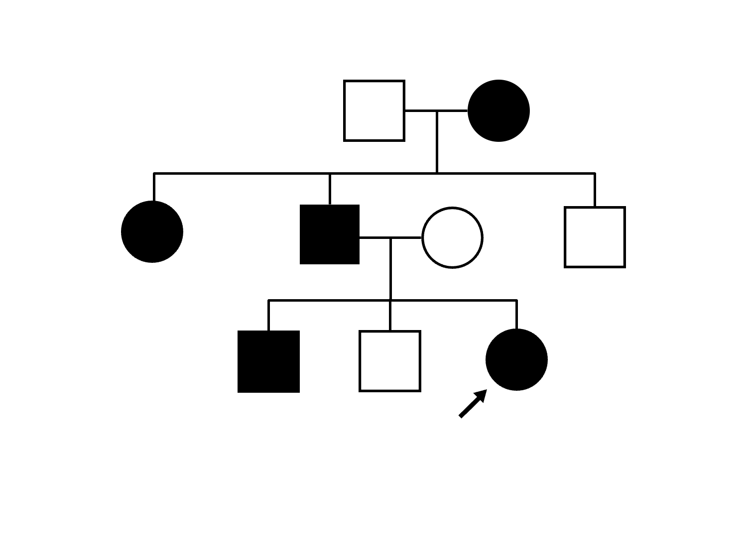
This 40 year old woman first noticed a reduction of her visual acuity about two years ago. She has been sensitive to light for as long as she can remember.

Pedigree

Age at visit: 40 years
Age at visit: 41 years

Diagnosis & molecular findings

Disease Gene Allele 1 variant(s) Allele 2 variant(s) Inheritance mode
AD Stargardt Disease PROM1 Arg373Cys CGC>TGC   AD
Gene:
Allele 1:
Arg373Cys CGC>TGC
Allele 2:
 
Inheritance:
AD
Cite this case