SR2298

XL Retinoschisis (IIIB1)

Male

Male

SR2298

XL Retinoschisis (IIIB1)

Male

Male

Highlighted Images

Age at visit: 69 years
OD OS

History

This 69 year old man has had slightly subnormal acuity his entire life.

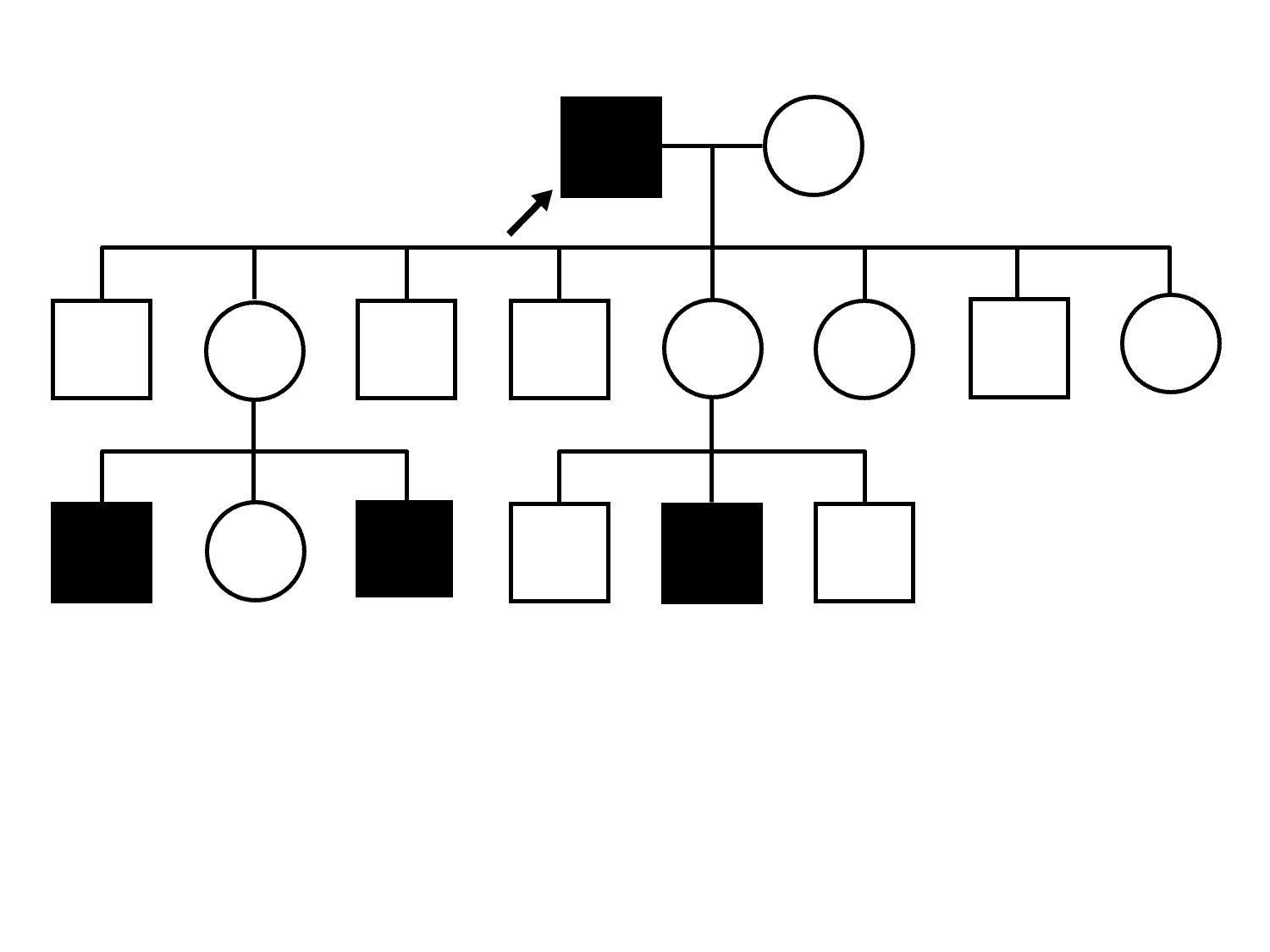
Pedigree

Age at visit: 12 years
Age at visit: 69 years

Diagnosis & molecular findings

Disease Gene Allele 1 variant(s) Allele 2 variant(s) Inheritance mode
XL Retinoschisis RS1 IVS1-1 G>A   XL
Disease:
Gene:
Allele 1:
IVS1-1 G>A
Allele 2:
 
Inheritance:
XL
Cite this case