SR1923

AD Retinitis Pigmentosa (IA1aii)

Male

Male

SR1923

AD Retinitis Pigmentosa (IA1aii)

Male

Male

Highlighted Images

Age at visit: 24 years
OD OS

History

This 24 year old man has recently noticed that he sees more poorly than his peers in movie theaters.

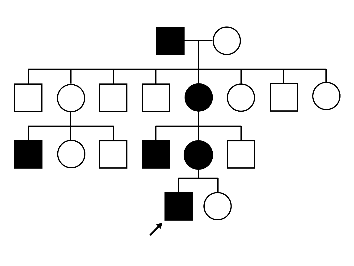
Pedigree

Age at visit: 24 years
Age at visit: 26 years
Age at visit: 34 years

Diagnosis & molecular findings

Disease Gene Allele 1 variant(s) Allele 2 variant(s) Inheritance mode
AD Retinitis Pigmentosa PRPH2 Pro216Ser CCT>TCT   AD
Gene:
Allele 1:
Pro216Ser CCT>TCT
Allele 2:
 
Inheritance:
AD
Cite this case